Voti e premi al personale del Comune, in arrivo 50mila euro per il 2012 Spicca Silvia Toninelli (Politiche Educative)
Pubblicati sull’Albo pretorio del Comune i voti assegnati al personale incaricato dell’area delle Posizioni Organizzative e le relative indennità di risultato. Il contenuto della determina: “Liquida, a consuntivo, i compensi spettanti a saldo al personale, relativamente all’anno 2012, sulla base delle valutazioni espresse dai dirigenti interessati, per quanto riguarda il raggiungimento degli obiettivi e le competenze manageriali, e con il supporto dell’Organismo Indipendente di valutazione per quanto riguarda la performance organizzativa espressa”. Si parla, in totale, di circa 50mila euro.
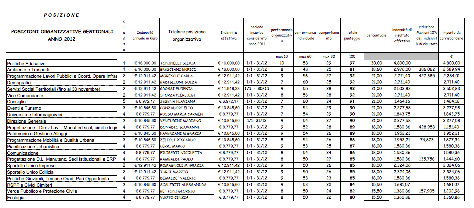
Nelle valutazioni delle posizioni organizzative gestionali, spicca Silvia Toninelli (Politiche Educative), con un punteggio totale di 97 su 100 e un’indennità di risultato di 4800 euro. Seguono Carla Moreschi (Programmazione Lavori Pubblici), Guida Badiglioni (Demografici), Eugenia Grossi (Servizi Sociali Territoriali) e Pierluigi Sforza (Vicecomandante Vigili), con punteggio di 92 e indennità fra i 2500 e i 2700 euro.
Quanto alle posizioni organizzative specialistiche, punteggio di 90 e indennità di circa 1000 euro per Marina Volonte’ (Sistema Museale).
RISULTATI E INDENNITA’
© RIPRODUZIONE RISERVATA

