Sedici i treni sostituiti con autobus sulle linee cremonesi secondo il piano di Trenord
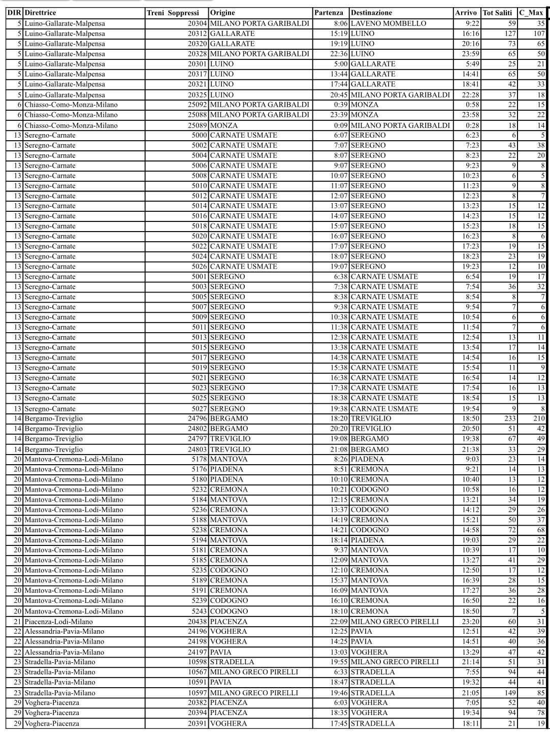
Sono 16 le corse delle direttrici Cremona – Codogno e Cremona – Mantova che verranno sostituite con autobus nella riorganizzazione del servizio annunciata dall’amministratore delegato di Trenord Piuri, già oggetto di feroci contestazioni dal mondo dei pendolari. Si tratta di corse su cui Trenord ha conteggiato un numero di viaggiatori troppo basso e deciso di razionalizzare. Come il Codogno Cremona delle 18,10, 7 viaggiatori conteggiati; o sempre il Codogno-Cremona delle 12,10 o il Cremona-Mantova delle 9,37, entrambi con 17 passeggeri a bordo.
La riorganizzazione scatterà il 9 dicembre per sfruttare il cambio di orario invernale. L’utilizzo degli autobus al posto dei treni riguarderà il 5% delle corse. “Togliendo questa parte di servizio – ha spiegato ieri Piuri nel corso dell’audizione in commissione Trasporti – riduciamo il fabbisogno di equipaggi e possiamo diminuire anche le soppressioni di nostra responsabilità”.
Da un primo sguardo alla tabella, sulla direttrice per e da Codogno sembrano penalizzati soprattutto gli studenti, che utilizzano anche le corse di metà mattina e metà pomeriggio per prendere dalla cittadina lodigiana la coincidenza per Milano
LE CORSE SOSTITUITE CON AUTOBUS

“La soppressione di 50 treni giornalieri per far fronte al collasso di Trenord – afferma Dario Balotta di Onlit osservatorio nazionale liberalizzazioni infrastrutture trasporti, che ha diffuso la tabella – è l’esito di una crisi avviata con il matrimonio con le FS. Va preso atto che con la nascita di Trenord è fallito il federalismo ferroviario proposto dall’ex Governatore Roberto Formigoni. Dalla nascita di Trenord (sette anni fa) Regione e Trenitalia hanno sempre litigato sottobanco, impedendo economie di scala e di scopo grazie al perpetrarsi delle gestioni separate dei due rami ferroviari che si volevano integrare, le Nord e le FS. Gestioni aziendali consociative, contrarie a logiche industriali, hanno prevalso. La conflittualità sindacale è stata da record,mentre si era promesso di ridurla. Ora che volano gli stracci e le contro accuse sono pubbliche, si spiega perché non è mai decollata l’efficienza dei trasporti in regione Lombardia. Sono invece decollati i costi pubblici, tanto da portare il treno/Km a 20 euro, il doppio del costo di un treno di qualsiasi altra regione italiana gestita da Trenitalia. La Regione decida di ritirarsi dalle troppe parti in commedia che recita in questo settore, come soggetto proprietario e gestore, programmatore dei servizi e compratore degli stessi. La liberalizzazione ferroviaria, che ha avuto successo in tutta Europa, è la strada maestra per uscire dalla crisi e restituire dignità ai pendolari e un servizio all’altezza della Lombardia”.
L’intera giunta Galimberti si dice preoccupata della proposta. “Non si può fronteggiare così un’emergenza che si protrae ormai da troppo tempo – si legge in una nota stampa – e che si manifesta attraverso gli ormai quotidiani e sempre più pesanti disservizi. Il territorio cremonese non ha bisogno di meno treni sostituiti da autobus, ma di una mobilità efficiente e sostenibile, per la quale l’Amministrazione comunale, in questi anni, ha sempre lavorato con tutti i mezzi a propria disposizione, anche ascoltando e facendo proprie le sacrosante istanze dei pendolari e di tutte le realtà produttive, perché al sistema Cremona sta a cuore lo sviluppo economico e turistico della città e dell’intera provincia.
In questi anni abbiamo incontrato e sollecitato assessori e presidenti di Regione Lombardia, cercato di lavorare con i consiglieri del territorio disponibili, recentemente abbiamo promosso un tavolo di lavoro tra Regione Lombardia e Regione Emilia e al primo incontro era presente l’assessore Claudia Maria Terzi, abbiamo fortemente voluto un incontro con il ministro alle Infrastrutture Danilo Toninelli al quale chiedere ragione del raddoppio della Mantova-Cremona-Milano.
Ora e ancora vogliamo che si senta forte la voce del territorio: per rispetto delle persone, dei lavoratori, delle imprese, dell’ambiente la soluzione prospettata è inaccettabile. Tutto questo è il frutto dei gravissimi errori compiuti ormai da molti anni da parte di chi governa Regione Lombardia, ma questo non giustifica, semmai rende ancora più grave la pseudo-soluzione proposta”.
Per ribadire la forte contrarietà a quanto prospettato, la Giunta aderisce alla mobilitazione che si terrà martedì 13 novembre al Pirellone, quando il Presidente Attilio Fontana interverrà in Consiglio regionale sul futuro del trasporto ferroviario.
g.b.